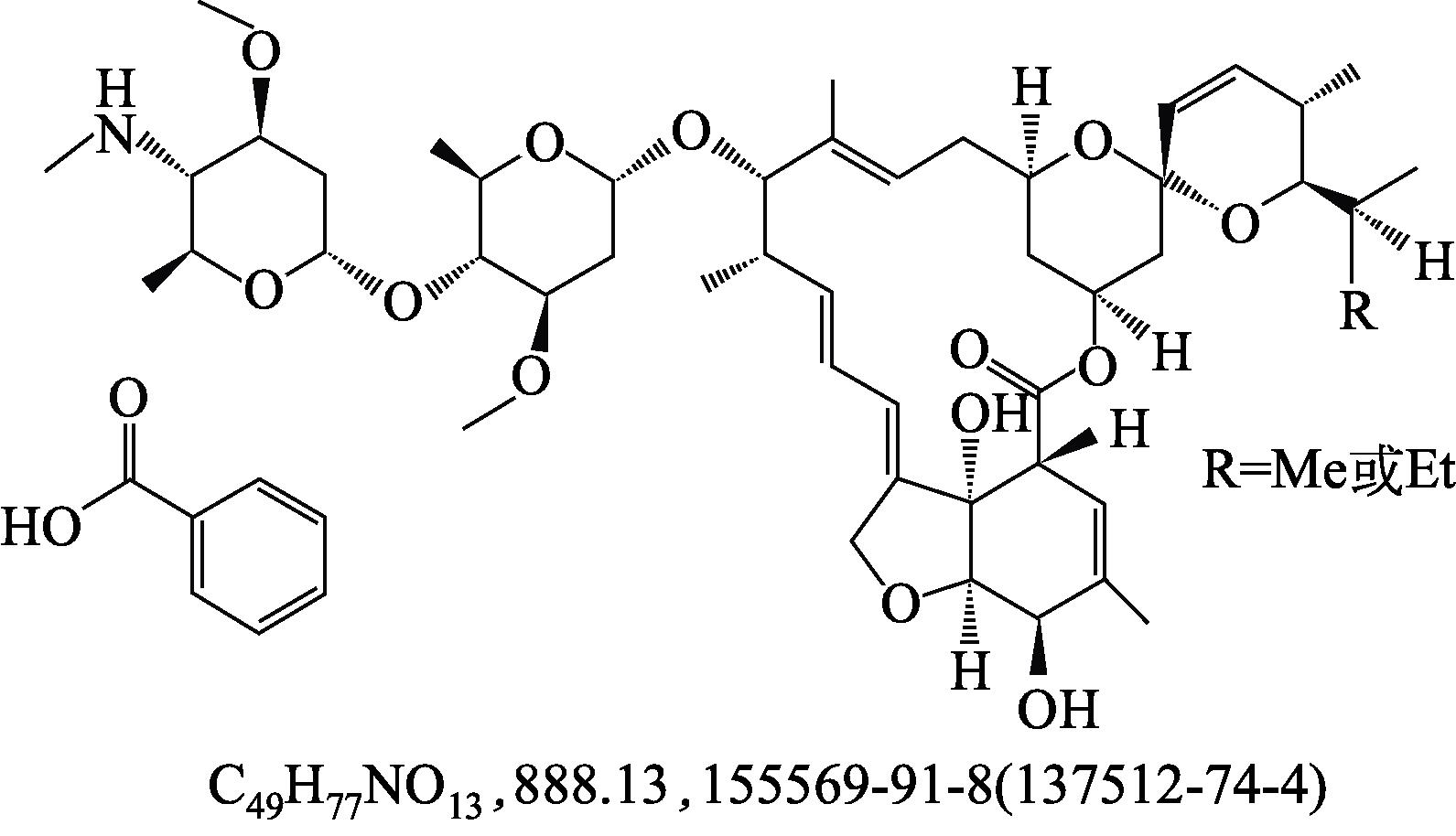
甲氨基阿维菌素苯甲酸盐 emamectin benzoate

其他名称 甲维盐、威克达、京博泰利、红烈、万庆等。
主要剂型 0.5%、1%、1.5%、2%、5%乳油,0.5%、1%微乳剂,5%水分散粒剂。
毒性 原药高毒,制剂低毒。
作用机理 阻碍害虫运动神经信息传递而使虫体麻痹死亡,幼虫在接触药剂后很快停止取食,发生不可逆转的麻痹,在3~4天内达到死亡高峰。
产品特点
(1)甲氨基阿维菌素苯甲酸盐是从发酵产品阿维菌素B1开始合成的一种新型半人工合成的抗生素类杀虫剂,其防治对象、杀虫机理与阿维菌素相同,但比阿维菌素活性更高,并降低了对人畜的毒性。
(2)高效、广谱,以胃毒作用为主,兼有触杀活性,对作物无内吸性能,但可有效渗入作物的表皮组织,所以具有较长的持效期。
(3)纯品外观为白色或淡黄色的粉末结晶,可溶于丙酮、甲苯,微溶于水,不溶于己烷,正常贮存条件下稳定,对紫外线不稳定。
(4)该药对鳞翅目昆虫的幼虫和其他许多害虫害螨的活性极高,与其他杀虫剂无交互抗性,在常规剂量范围内对天敌、人畜安全。
(5)与土壤结合紧密,不淋溶,在环境中也不积累,极易被作物吸收并渗透到表皮,使施药作物有长期持效,在10天以上又出现第二个杀虫高峰,同时很少受环境影响。
(6)常与氯氰菊酯、高效氯氰菊酯、高效氯氟氰菊酯、毒死蜱、虫酰肼、氟啶脲、丁醚脲、啶虫脒等杀虫剂成分混配,生产制造复配杀虫剂。
应用 常用来防治瓜果类、叶菜类的多种害虫,如甜菜夜蛾、斜纹夜蛾、小菜蛾等。
(1)防治蔬菜上的小菜蛾,亩用1%乳油10~12mL,或0.2%高渗乳油50~60mL,兑水50~60kg喷雾。
(2)防治甜菜夜蛾,亩用0.5%乳油20~30mL,或1.5%乳油10~16mL,或0.2%高渗乳油50~60mL,或0.2%高渗微乳剂15~30mL,兑水50~60kg喷雾。
注意事项
(1)对蜜蜂、鸟类、鱼类、家蚕有毒,使用时注意对它们的安全性。应避免污染水源和池塘等,禁止在河塘等水体中清洗施药器具。
(2)使用时应穿防护用品,施完后用肥皂彻底清洗着药部位。
(3)本品对昆虫主要是胃毒作用,因此喷雾要均匀周到,保证足够的药液量,叶片正反及幼嫩部位有药液均匀分布。
(4)在十字花科蔬菜上使用的安全间隔期3天,每季最多使用2次。
(5)注意与其他作用机制不同的药剂混用或交替使用,避免害虫产生耐药性。